電話:13570151199
傳真:020-39972520
郵箱:hanyan@hanyancarbon.com
地址:廣東省廣州市番禺區東環街番禺大道北555號天安總部中心30號樓6層
油氣回收是下游化學工業,石油和天然氣工業以及環境保護的關鍵過程。為此目的,高度需要用于蒸氣回收的高效吸收材料,并且它們的相關吸附動力學對其性能非常重要例如活性炭。由于油蒸氣由具有不同物理和化學性質的多種組分組成,因此對多組分油蒸氣的活性炭的總吸附動力學進行建模是對于工業應用非常有價值的。
石油和天然氣工業,化學工業和許多其他相關行業中,從油蒸汽中有效回收有用成分是其運行的重要組成部分。重新檢測油蒸汽有兩個主要好處:1)通過從油蒸氣中回收有價值的成分,該公司可以增加額外的利潤,同時降低成本,例如石油和天然氣公司正試圖回收天然氣蒸汽并將其轉化為有用的產品; 2)油蒸氣含有一些環境危險成分,必須在它們逃逸到大氣之前進行回收。有多種方法可以回收油蒸汽,包括通過撤回在地下儲罐中產生負壓的方法,以及通過物理吸附機制等方法。在所有不同的油氣回收方法中,使用高效吸收劑在近大氣壓下物理捕獲油蒸氣組分,在工業上廣泛應用。
活性炭被廣泛認為是最有效的工業吸收劑之一,具有極高的表面積與體積比,所需的多孔結構以及在不同溫度和壓力下的優異物理和化學性質。基于活性炭吸收劑的油蒸氣回收系統已被許多公司廣泛開發。關鍵問題是在一定溫度和壓力范圍內了解其對油蒸氣的吸附動力學,以便了解回收系統的效率。
已經有一些研究工作在理論上研究了各種吸收材料上的氣體吸附動力學。開發了填充床反應器中氧化鈉促進的氧化鋁的CO2吸附動力學的綜合數學模型。他們的模型充分解釋了實驗結果,揭示了物理條件和吸附動力學之間的一些定量關系。關于探索活性炭在有機蒸汽上的吸附動力學,也有不少實驗工作。然而,很少有研究工作為多組分系統開發活性炭的吸附動力學模型。由于處理多組分系統對工業的需求很大,因此開發數學模型來預測多組分系統活性炭的吸附動力學對于理解和優化現有的油蒸氣回收系統至關重要。
在本文中,我們開發了一個綜合的數學模型,描述了填充床反應器中多組分油蒸汽吸附在活性炭上的過程。我們的模型預測了廣泛的無量綱參數下的吸附動力學,揭示了動力學和一些無量綱參數之間的定量關系。雖然可以通過考慮其他過程進一步開發更全面的模型,但該模型的結果可作為設計基于活性炭吸收劑的更有效的油蒸氣回收系統的良好參考。我們期望進行更多的實驗研究以驗證我們的模型。
數學模型活性炭是一種高效吸附劑,廣泛用于各種工業。目前已有許多關于研究活性炭物理性質的研究,這將影響其吸附動力學。由于油蒸氣是一種多組分體系,其每種組分都具有不同的吸附動力學性質。對多組分氣相吸附動力學進行建模非常重要,因為我們可以將我們的模型推廣到實際的工業問題。我們從BET方程的一般模型開始,該方程研究平衡吸附量和氣體壓力之間的關系。我們使用的活性炭孔隙率為0.6。
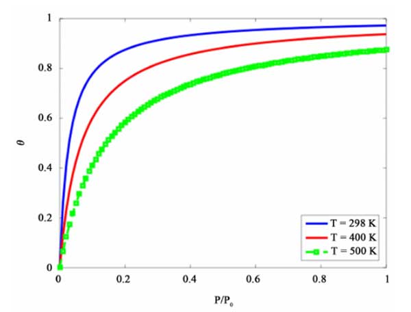
下圖(圖1)顯示了加載分數θ與氣體壓力P/P0在不同溫度之間的定量關系。BET方程是模擬活性炭上氣體吸附動力學的好方法,但它僅適用用于單組分氣體吸附。在下面的部分中,介紹了多組分油蒸氣回收的綜合模型。

圖1:在不同溫度的活性炭下模擬BET曲線。
結果與討論我們已經提出了一個綜合模型,該模型定量地預測了填充床反應器中油蒸氣回收的吸附動力學。在該模型中,我們僅考慮軸向擴散,并使用質量守恒方程來模擬油氣吸附的時空分布。我們假設活性炭吸附在恒溫下操作,并且與活性炭的吸附容量相比,油蒸氣濃度非常低。此外,假設油蒸氣中的組分之間不發生化學反應,因此每種組分可以作為獨立的吸附物處理。因此,多組分吸附問題可以轉化為單組分吸附問題。下圖(圖2)說明了吸附動力學的溫度依賴性。

圖2:溫度對活性炭填充床反應器中油蒸汽穿透曲線的影響。
從圖2我們可以看出,較高的溫度會降低活性炭的吸附能力,因為吸附過程是放熱的,同時增加了吸附動力學,從而導致更快的穿透,這意味著吸附物(油蒸汽)將在更短的時間內存在;钚蕴糠磻髟谳^高溫度下與較低溫度相比較。
模擬三種不同孔隙率的活性炭的吸附動力學(圖2)。通過多組分加權平均計算C/C0(我們模擬每種組分的吸附動力學,計算它們相應的穿透曲線,并根據它們在原始油蒸氣中的體積分數得出加權平均值)。從圖3中可以看出,較高的孔隙率可以在較長的穿透時間內重新產生,這與較高的孔隙率將導致較高的表面積并且將使反應器中的吸附物的停留時間更長的事實一致。

圖3:不同孔隙率活性炭的油蒸汽突破曲線。
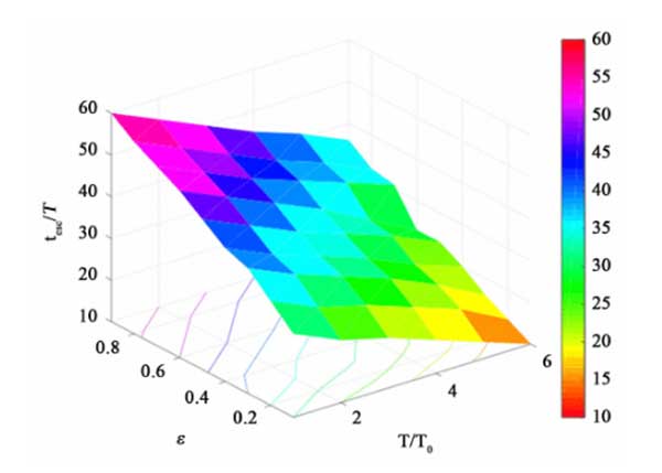
所有參數空間在孔隙度和溫度方面的綜合研究如圖4所示。我們可以看到,較高的孔隙率和較低的溫度將導致反應器中吸附物的停留時間更長。較高的溫度會導致更快的吸附速率,但會降低活性炭吸附劑的吸附能力。

圖4:孔隙率和溫度對活性炭中油蒸氣吸附穿透時間的影響。
在圖5中,我們顯示了戊烷在活性炭上的吸附負載的時空分布。戊烷是油蒸氣中的主要成分之一。由于我們假設活性炭在吸附過程中處于恒溫狀態,且油蒸氣濃度很低,因此線性驅動力模型可以很好地模擬吸附質的吸附動力學?梢砸韵嗤姆绞侥M油蒸氣中的其他組分。

圖5:填充床反應器中戊烷在活性炭吸附劑上的載荷的時空分布。
在這項研究中,通過對流-擴散模型模擬了油蒸汽在活性炭上的吸附動力學。從模擬結果可以得出結論,孔隙度和溫度都對油蒸氣的吸附動力學有顯著影響。較高的孔隙率會增加活性炭的吸附動力學,而較高的溫度會降低活性炭的吸附能力,盡管它可以增加吸附動力學并可以加速吸附過程達到平衡。油蒸氣中的不同組分也顯示出截然不同的吸附動力學性質。這是因為不同的組分具有不同的有效傳質速率,因為它們的分子量以及化學和物理性質不同。本研究為今后用活性炭大規模回收油氣的實驗研究提供了重要的理論依據。
文章標簽:椰殼活性炭,果殼活性炭,煤質活性炭,木質活性炭,蜂窩活性炭,凈水活性炭.推薦資訊
- 2025-10-10活性炭金屬改性對氫的吸附
- 2025-09-29活性炭吸附有機微污染物
- 2025-09-17活性炭去除對羥基苯甲醚
- 2025-09-09活性炭從水溶液中吸附苯酚
- 2025-08-27活性炭從水溶液中分離甲乙酮
- 2025-08-19活性炭對鈷離子的吸附與去除
- 2025-07-30活性炭用于強汞的去除
- 2025-07-23活性炭超聲輔助吸附黃金
- 2025-07-16活性炭載二氧化鈦協同去除二氯甲烷
- 2025-07-09活性炭從水中吸附脂多糖
- 2025-07-03活性炭凈化銅污染的生物柴油
- 2025-06-25活性炭從水中去除聚氯乙烯微塑料
