電話:13570151199
傳真:020-39972520
郵箱:hanyan@hanyancarbon.com
地址:廣東省廣州市番禺區東環街番禺大道北555號天安總部中心30號樓6層
活性炭從水中去除苯胺,這次研究介紹,我們使用活性炭和氧化鐵磁性納米粒子被用于合成活性炭氧化鐵磁性納米粒子作為去除苯胺的吸附劑。通過幾種方法來測試活性炭的特性。同時,研究了不同參數如pH,接觸時間,活性炭用量,苯胺初始濃度和溶液溫度的影響,最終結論我們合成的活性炭氧化鐵磁性納米離子能很好的吸附水中苯胺還具有快速從溶液中分離的優點,可以用作有效去除水和廢水中的苯胺等污染物的吸附劑。
隨著工業的快速增長而帶來的環境染污是比較嚴重的,尤其是有機化合物對水資源和環境的影響。苯胺是具有芳環和NH 2鍵的芳環的簡單物質。它是石化和農用化學品中的工業原料,苯胺作為副產物涉及到造紙,紡織,橡膠,塑料,染料等生產行業。只需將3.5%的苯胺溶解在水中,就能造成水體污染即使濃度低也能對水生生物和人體產生危害,并且難以降解。要使得苯胺從水中完全出去我們需要使用先進,快速和有效的技術。這些技術主要為苯胺去除最常見的方法包括用臭氧氧化,活性炭吸附等。其他方法在分解過程如生物降解和電解中,高成本是限制因素。選擇活性炭而不是其他技術去除污染物,是因為活性炭可以吸附與回收,而且穩定的炭元素不會與污染物結合形成其他危險物質。
活性炭由于其結構和高表面積,是從水中有效去除有機污染物(尤其是硬生物可降解污染物)的合適選擇。但是由于過濾,分散,產生渾濁和降低成本等問題,在大工程中使用活性炭會受到限制,所以想要更經濟的使用活性炭必須解決活性炭吸附飽和后的分離問題。根據研究人員發現磁分離方法由于成本低,簡單,分離快速和高效率,將活性炭進行磁化可以解決分離問題。
活性炭氧化鐵磁性納米粒子的制備
通過化學共沉淀法制備活性炭氧化鐵磁性納米顆粒。使用特殊技術合成氧化鐵納米顆粒并將其與活性炭結合。首先,使用一定量的活性炭浸漬在硝酸中,在80℃下浸漬3小時。然后將活性炭過濾并在室溫下干燥。然后,將活性炭浸漬到含有氧化鐵的水溶液中并在80°C下超聲振動中放置1小時。然后將活性炭過濾并在105℃的烘箱中脫水1小時。將活性炭在750℃下在爐內在氮氣下加熱3小時,以形成活性炭氧化鐵磁性納米顆粒。最后,將合成的活性炭用去離子水洗滌四次,然后在105℃下干燥并保存在干燥器中備用。
活性炭樣品測試
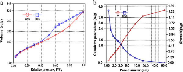
圖1、2和3顯示了通過SEM,TEM,X射線衍射和BET技術合成活性炭的物理和形態性質。各種pH值下活性炭對苯胺的吸附效率的影響=2-10,顯示納米離子在4小時內的接觸時間在圖4(a)中。圖4顯示,隨著pH從2增加到6,吸附效率在較高pH下增加然后降低。最大苯胺吸附性能為吸附容量為38.21mg/g,去除率為76.4%,pH=6,最低吸附苯胺量為34.1mg/g,去除率為68.3%,pH=2。圖4(b)表示的接觸時間為pH值在最合適的情況下(50-300毫克/升)不同濃度苯胺吸附到活性炭的影響。圖5和圖6顯示了不同溫度對苯胺吸附過程的影響,優化的pH值,接觸時間,活性炭劑量和各種苯胺濃度(50-300 mg/L)。

圖1、活性炭氧化鐵的光譜。

圖2、SEM(a和b)和TEM(c),活性炭的圖像。

圖3、活性炭的氮吸附/解吸等溫線(a),活性炭顆粒的孔徑分布(b)。

圖4、pH值(a)在濃度=50 mg/L和接觸時間(b)對濃度=50-300 mg/L的影響,苯胺吸附在活性炭上,W=1 g/L T=20℃。

圖5、各種苯胺濃度對其在活性炭上的吸附的影響:pH=6,t=300min,濃度 = 50-300mg/L,W=0.5-2g/L和T=20℃。

圖6、各種溫度對對活性炭吸附苯胺的影響:pH=6,t=300 min,濃度=50-300 mg/L,W=2 g/L,T=20-50°C。
我們成功合成了活性炭氧化鐵磁性納米粒子,其結合了活性炭和氧化鐵納米粒子,并用于從水環境中去除苯胺。結果表明,活性炭對苯胺的吸附效果在接近中性的pH值下較好,隨接觸時間和活性炭用量的增加而增加,但隨初始苯胺濃度和溫度的升高而降低。熱力學研究也表明吸附苯胺在活性炭上一直是自發熱的和放熱的。本研究表明,活性炭氧化鐵納米離子除具有易分離和萃取溶液等特點外,無需過濾,具有適當的孔隙率,表面積和良好的吸附能力。該活性炭可用作有效和高效的吸附劑,以去除大多數污染物,尤其是水環境中的有機污染物。
文章標簽:椰殼活性炭,果殼活性炭,煤質活性炭,木質活性炭,蜂窩活性炭,凈水活性炭.推薦資訊
- 2025-10-10活性炭金屬改性對氫的吸附
- 2025-09-29活性炭吸附有機微污染物
- 2025-09-17活性炭去除對羥基苯甲醚
- 2025-09-09活性炭從水溶液中吸附苯酚
- 2025-08-27活性炭從水溶液中分離甲乙酮
- 2025-08-19活性炭對鈷離子的吸附與去除
- 2025-07-30活性炭用于強汞的去除
- 2025-07-23活性炭超聲輔助吸附黃金
- 2025-07-16活性炭載二氧化鈦協同去除二氯甲烷
- 2025-07-09活性炭從水中吸附脂多糖
- 2025-07-03活性炭凈化銅污染的生物柴油
- 2025-06-25活性炭從水中去除聚氯乙烯微塑料
