電話:13570151199
傳真:020-39972520
郵箱:hanyan@hanyancarbon.com
地址:廣東省廣州市番禺區東環街番禺大道北555號天安總部中心30號樓6層
活性炭過濾去除雙氯芬酸鈉,在常規飲用水處理工藝在有和無氯氣和二氧化氯預氧化的情況下的效率,以及使用顆粒活性炭過濾去除雙氯芬酸(DCF)的效率。制作具有水生腐殖物質的實驗水樣品,在具有過濾器的環境中進行實驗。
污水處理廠內污水中的化學殘留物的存在表明,并非所有的物質都能在凈水過程中被完全去除。因此,在飲用水處理廠中主要的水源來自地表水和地下水。由于其在污水廠中的低效處理及一些其親水特性的化學物,于是在飲用水中也發現了大量的濃度為ng L -1的雙氯芬酸鈉。大多數關于去除這類化學物的研究集中在一小部分水處理過程或操作上。此外,他們使用從泥炭中提取的腐殖物質代替水,這些物質具有不同的特性,其中腐殖酸含量低于黃腐酸,低分子量和低濃縮分子,可能阻礙化學物的去除。
我們在評估常規飲用水處理工藝(凝結,絮凝,沉降,砂濾和氯消毒)結合使用氯和二氧化氯的預氧化和去除活性炭的效率雙氯芬酸鈉在含有水生腐殖物質的水中的應用。另外,用氯和二氧化氯在雙氯芬酸鈉氧化期間形成的副產物通過LC-MS / MS初步鑒定。分析物雙氯芬酸鈉的選擇是基于其在水生環境中的高消耗,高檢測頻率和低生物降解性和極性,這有利于其在自然水域中的傳播。
合成水的制備
從自流井提取非氯化水(濁度 = <0.2 NTU,表觀顏色 = <2 HU, pH值 = 6.2,鋁 = <0.01 mgAl L−1,雙氯芬酸 = 未檢測到)被用于制備合成水用水生腐殖物質,得到20 ± 1 HU本色和高嶺土,以收率70的濁度 ± 2 (NTU并用1摻加 mgAl L−1雙氯芬酸(鈉鹽,西格瑪奧德奧德里奇,純度 > 99%)。雙氯芬酸的濃度基于方法的LOQ。水樣 在室溫下儲存1 周。所產生的堿度在22和23 毫克 CaCO 3 L -1之間。吸光度測量和DOC使用通過0.45μm 乙酸纖維素膜過濾的水樣進行。在不向樣品中加入硫代硫酸鈉的情況下進行吸光度和pH測量。
水處理測試
常規水處理試驗進行,使用六個方燒杯(2 L),其在10-1200提供速度梯度 s−1 范圍并用的內徑6實驗室規模的過濾柱的兩個包19 毫米串聯。六個過濾器填充了一層15 厘米厚的砂子,另外六個過濾器填充了一層15 厘米厚的活性炭,顆粒尺寸從0.30到0.59 毫米不等。下列參數的試驗采用:快速混合(時間 = 10 秒;速度梯度快速混合 = 1000 小號-1),絮凝(時間 = 20 分鐘;流速梯度絮凝 = 15個 小號-1),沉淀(速度 = 1 厘米 分鐘-1),濾過率(砂/ 活性炭過濾器 = 60 米3 米-2 d -1),沉淀(砂/活性炭過濾器過濾后時間 = 20 分鐘)和空床接觸時間(沙/ 活性炭過濾器 = 大約3.6 分鐘)。瓶子試驗過程中的水溫保持在20℃左右 C。砂濾器用去離子水處理,然后使經過的沉降的傾析水通過它們,并且在每次不同的實驗測試試驗后用自來水以10 分鐘的流量進行清潔。
在砂和活性炭過濾之后,通過加入 5mg Cl 2 L -1的次氯酸鈉來消毒水。接觸時間為30 分鐘,24 小時。在實驗中, 在恒定的攪拌( 100rpm)下,在20 ℃ 下,將250mL的水用于封蓋的琥珀小瓶中。每次接觸時間都進行一次測試。通過加入硫代硫酸鈉終止氯氣反應。
通過處理過程去除雙氯芬酸鈉
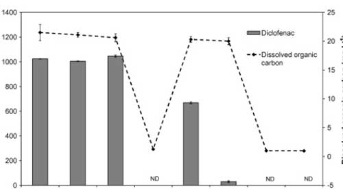
圖1和2別顯示了用雙氯芬酸鈉和在用和不用氯和二氧化氯預氧化和用活性炭過濾的常規處理之后在合成水中分析的參數的結果。1-3用于優化鋁的劑量和凝血的pH值(3.5 毫克 的Al 大號21和pH 6.5)中。

圖1。常規飲用水處理工藝無需預氧化和活性炭過濾,去除雙氯芬酸鈉和DOC。

圖2。在使用氯氣和二氧化氯進行預氧化(PO),然后進行活性炭過濾的常規飲用水處理的不同階段中去除雙氯芬酸鈉。
使用活性炭除去雙氯芬酸鈉是定性高效的,通過零吸收和低濃度的DOC的,并且在通過所獲得的色譜中沒有檢測到雙氯芬酸鈉。得在所研究的處理階段中,在活性炭上的吸附導致最顯著的雙氯芬酸鈉去除。因此,雙氯芬酸鈉沒有水樣中的這個階段(LOD之后檢測 = 2 μg L−1)。考慮到所述方法的定量限為3 μg L−1,通過活性炭除去雙氯芬酸鈉的至少99.7%。因為沒有研究活性炭的破裂曲線,所以活性炭的結果可以被認為是定性的。然而,為了研究在大型水處理廠中去除雙氯芬酸鈉,必須改進該方法以達到較低的檢測限(約μg L−1)。
文章標簽:椰殼活性炭,果殼活性炭,煤質活性炭,木質活性炭,蜂窩活性炭,凈水活性炭.推薦資訊
- 2025-10-10活性炭金屬改性對氫的吸附
- 2025-09-29活性炭吸附有機微污染物
- 2025-09-17活性炭去除對羥基苯甲醚
- 2025-09-09活性炭從水溶液中吸附苯酚
- 2025-08-27活性炭從水溶液中分離甲乙酮
- 2025-08-19活性炭對鈷離子的吸附與去除
- 2025-07-30活性炭用于強汞的去除
- 2025-07-23活性炭超聲輔助吸附黃金
- 2025-07-16活性炭載二氧化鈦協同去除二氯甲烷
- 2025-07-09活性炭從水中吸附脂多糖
- 2025-07-03活性炭凈化銅污染的生物柴油
- 2025-06-25活性炭從水中去除聚氯乙烯微塑料
