電話:13570151199
傳真:020-39972520
郵箱:hanyan@hanyancarbon.com
地址:廣東省廣州市番禺區東環街番禺大道北555號天安總部中心30號樓6層
氫是清潔能源,有著儲量豐富對環境友好和燃燒熱值高等優點,作為一種替代能源受到廣泛關注。雖然氫氣的易燃性導致其在儲存和運輸過程中存在潛在危險。但是液體有機氫化物可逆氫化-脫氫循環,便于貯存和氫的按需釋放通過催化過程、高儲氫能力、高能量密度、安全條件下運輸方便等。所以我們開發了甲基環己烷在載鉑活性炭催化劑上的脫氫反應。
環己烷、甲基環己烷、1,4-二甲基環己烷和十氫化萘都屬于液態有機氫化物,它們具有高儲氫容量(6-8%)和高沸點(80-200℃),以確保它們在運輸過程中處于液態。其中,甲基環己烷由于其高可逆性和脫氫產物的低毒性而成為潛在材料。鉑基催化劑可以選擇性地激活C-H鍵而不斷裂C-C鍵并顯著降低活化能,但是催化劑載體對鉑基催化劑的活性和穩定性起著重要作用。活性炭載體具有較大的表面積、豐富的孔結構和大量的含氧官能團,這影響了粒徑、分散性和鉑基催化劑的脫氫活性。氫氣程序升溫還原技術用于研究活性成分鉑與不同功能化活性炭之間的相互作用。所以我把他們結合了,制成的多種規格的活性炭載鉑催化劑,再來測試他們對甲基環己烷脫氫的效率。
活性炭催化劑的結構表征
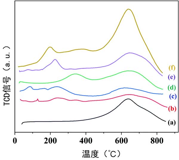
活性炭和載鉑活性炭催化劑的H2-TPR曲線在圖1顯示,它描繪了還原機制。如圖1a所示,在活性炭的H2-TPR曲線中觀察到630℃的峰,這歸因于活性炭的表面官能團。與活性炭相比,活性炭載鉑催化劑的H2-TPR曲線(圖1b)顯示了在240℃和340℃處的峰值,這是由Pt-O-Pt和Pt-O-C的還原產生的,分別進一步證明了活性炭載鉑催化劑的成功合成。在硫酸活化活性炭(圖1c)、氨基丙基三乙氧基硅烷活化(圖1d)的H2-TPR曲線中也觀察到了Pt-O-Pt或Pt-O-C的還原峰)、氧化氫活化(圖1e)和硝酸活化(圖1f),它們可以改善金屬物種的分散。此外,活性炭載鉑基催化劑曲線中的還原峰小于400℃,這表明鉑在甲基環己烷脫氫之前催化劑中處于金屬狀態。

圖1:活性炭和載鉑活性炭催化劑與化學活化劑活化后活性炭的H2-TPR。
甲基環己烷在活性炭載鉑催化劑上脫氫
圖2為甲基環己烷到甲苯的轉化曲線和以載鉑活性炭、載鉑硫酸活化活性炭、過氧化氫活化、硝酸和氨基丙基三乙氧基硅烷活化為催化劑隨反應溫度的析氫直方圖300℃和5小時的空間速度。如圖2A所示,使用載鉑活性炭作為催化劑的甲基環己烷的轉化率最初約為21.2%,但在12小時后急劇下降至8.64%,這可能是由于活性炭催化劑的團聚所致。相比之下,采用硫酸活化載鉑活性炭作為催化劑的甲基環己烷的轉化率最初約為66.3%,12小時后略有下降至61%,比物理活化的載鉑活性炭更高且更穩定。它可能受益于活性炭內的高度分散和小粒徑。然而,以其他活化方法的載鉑活性炭催化劑的甲基環己烷的轉化率遠低于物理活化的載鉑活性炭,這表明稀硝酸、過氧化氫和氨丙基三乙氧基硅烷不適合處理活性炭以催化甲基環己烷的脫氫。甲基環己烷使用載鉑活性炭、硫酸活化載鉑活性炭的平均轉化值在圖2B顯示。

圖2:(A)甲基環己烷脫氫為甲苯的轉化曲線和(B)活性炭載鉑催化劑上的析氫直方圖。
回收研究
進行回收試驗以研究活性炭催化劑的異質性和穩定性。第一次催化反應完成后,過濾回收活性炭載鉑催化劑(硫酸活化),用蒸餾水洗滌,55℃真空干燥12小時,重新用于第二次催化反應。在另外三個運行中實施了相同的操作。同時,在第一次運行后,通過檢測回收的活性炭催化劑和濾液中的鉑量。圖3展示了回收試驗的結果。觀察到甲基環己烷的轉化率在59.8-64.4%范圍內有小幅波動,表明活性炭催化劑的活性在重復使用4次后幾乎沒有下降,表明活性炭催化劑具有良好的穩定性。第一次運行后,反應中的鉑浸出量為0.33ppm。當鉑催化劑從反應體系中過濾出來時,在濾液中很少觀察到催化反應,這證明了活性炭載體上的鉑作為非均相活性位點。

圖3:活性炭載鉑催化劑(硫酸活化)催化劑的回收研究。
在活性炭催化劑對甲基環己烷脫氫的研究中。證明了活性成分鉑和各種功能化活性炭載體之間的相互作用。與其他鉑基催化劑相比,活性炭載鉑催化劑(硫酸活化)顯示出更小的粒徑和更高的分散性。在研究了鉑基催化劑在甲基環己烷脫氫反應中的催化活性。回收研究表明活性炭催化劑具有良好的穩定性和鉑組分的多相活性位點。催化反應結果表明,活性炭催化劑表現出比其他催化劑更高的甲基環己烷轉化率更高,很適合用于液態有機氫化物的脫氫。
文章標簽:椰殼活性炭,果殼活性炭,煤質活性炭,木質活性炭,蜂窩活性炭,凈水活性炭.推薦資訊
- 2025-10-10活性炭金屬改性對氫的吸附
- 2025-09-29活性炭吸附有機微污染物
- 2025-09-17活性炭去除對羥基苯甲醚
- 2025-09-09活性炭從水溶液中吸附苯酚
- 2025-08-27活性炭從水溶液中分離甲乙酮
- 2025-08-19活性炭對鈷離子的吸附與去除
- 2025-07-30活性炭用于強汞的去除
- 2025-07-23活性炭超聲輔助吸附黃金
- 2025-07-16活性炭載二氧化鈦協同去除二氯甲烷
- 2025-07-09活性炭從水中吸附脂多糖
- 2025-07-03活性炭凈化銅污染的生物柴油
- 2025-06-25活性炭從水中去除聚氯乙烯微塑料
